- 產品詳情
JANTX1N3306BMSC
JANTX1N3309RBMSC
JANTX1N3311BMSC
JANTX1N3314BMSC

歡迎來深圳市立維創展科技有限公司官方網站!
IC集成電路
品牌名稱:Microsemi
重要參數:
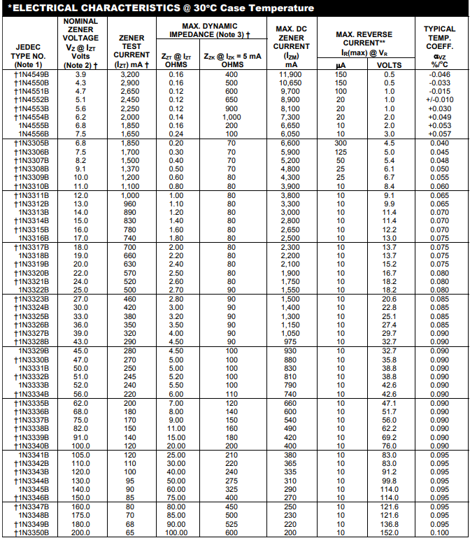
電壓:3.9V-200V
功率:50W
封裝:工業標準DO-5(DO-203AB)
重量:15g
JANTX1N3306BMSC
JANTX1N3309RBMSC
JANTX1N3311BMSC
JANTX1N3314BMSC

在線留言